近日,电智学院何小勇博士指导本科生开展科学研究,取得了系列研究成果,2名本科生在高水平期刊先后发表了共2篇学术论文。这是近年来学院在高水平理工科大学建设的背景下,推进本科生人才培养模式的探索与创新实践中获得的重要成果。

成果一:基于fs LA-SIBS技术中单标样和多谱线定标的定量分析方法
激光诱导击穿光谱技术(LIBS)因其快速、原位、远程等特性已被广泛应用于工业、农业、生物医药、环保和能源等领域,但定量分析一直是LIBS技术发展的短板,需要大量标准样品建模限制了LIBS技术的原位和现场应用,也削弱了LIBS技术快速检测的优势。针对这一问题,何小勇博士指导学生,针对LIBS快速定量分析展开研究,提出了一种飞秒激光剥离-火花诱导击穿光谱结合单标样和多谱线定标快速定量分析方法。该研究成果以学术论文"Application of quantitative analysis for aluminum alloy in femtosecond laser-ablation spark-induced breakdown spectroscopy using one-point and multi-line calibration"发表在Elsevier出版集团旗下的期刊《Analytica Chimica Acta》(影响因子:6.911,中科院1区Top期刊)上。该文第一作者李嘉乐为电智学院光电信息科学与工程专业大四本科生,何小勇博士为通讯作者。
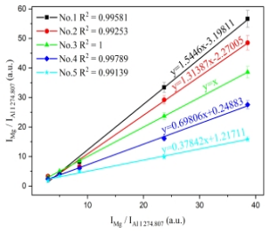
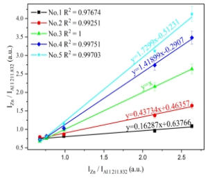
该文章研究了将飞秒激光剥离-火花诱导击穿光谱技术(femtosecond laser-ablation spark-induced breakdown spectroscopy,fs-LA-SIBS)与单标样和多谱线定标方法(One-point and multi-line calibration,OP-MLC)相结合,对铝合金样品中微量元素定量分析的可行性。该方法只需一个标准样品即可对未知样品元素进行定量分析,它利用未知样品与标准样品中分析元素的多条特征谱线强度获得线性拟合斜率,利用该斜率值和标准样品元素含量值就可计算出未知样品元素含量。该研究实现了对铝合金中的微量元素Mg、Cr、Cu、Mn和Zn的定量分析,对此方法进行了验证。结果如图1和图2所示,该方法可实现低含量元素的精准定量分析,无需对所含元素含量的归一化处理,不同元素分析结果互不影响;对5个铝合金测试样品中痕量元素Mg、Cr、Cu、Mn和Zn的定量分析平均相对误差分别为6.4、28.1、21.9、19.0和20.0%。该方法为fs LA-SIBS技术进行快速定量分析提供了便捷的方法。(文章链接://www.sciencedirect.com/science/article/pii/S0003267022011849?via%3Dihub)
图1. 未知样品和标准样品中分析元素归一化谱线强度关系:(a) Mg;(b) Cr;(c) Cu;(d) Mn;(e) Zn.
图2. 在fs LA-SIBS中采用OP-MLC方法对Mg、Cr、Cu、Mn和Zn元素含量的预测结果与标定值的比较。虚线表示探测含量和标定含量的理想关系。
成果二:基于fs-LIBS技术提高金属合金中元素检测精度的光谱滤波方法
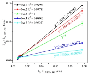
为了提高铝合金中Mg、Cu、Mn、Cr元素的检测精度,何小勇博士指导学生基于fs-LIBS的光谱滤波方法开展研究。通过研究两种优化光谱数据的降噪函数,包括中值滤波算法(MF)和Savitzky-Golay滤波法(SG),与原始数据做了三者对比实验。对比计算不同降噪方法 LIBS 数据的相关系数(R2)和元素的检出限(LOD)表明,提出的降噪算法具有优势,既保证了噪声的完全扣除,又保留了光谱中某些较弱的细节特征。如图3所示,采用MF算法R2最低达到0.990以上,SG算法R2最低能达到0.977。在中值滤波算法中获得的LOD比原数据的LOD改善了1.4-5.2倍,而在Savitzky-Golay滤波法中获得的LOD比原数据的LOD改善了1.2-2.5倍。通过预处理后的谱线不同程度的提高了拟合度,表明所采用的预处理算法可以明显提高金属元素含量的检测精度。因此,该文的工作在 LIBS 数据降噪中具有优势,在物质含量低、特征光谱弱时的信号去噪中具有较好的应用前景。该研究成果以学术论文"Spectral filtering method for improvement of detection accuracy of Mg, Cu, Mn and Cr elements in aluminum alloys using femtosecond LIBS"发表在英国皇家化学学会Royal Society of Chemistry旗下的《RSC Advances》(影响因子:4.036,中科院3区期刊)上。该文第一作者姚杰奇是一名中共党员,为电智学院光电信息科学与工程专业大四本科生,何小勇博士为通讯作者。
(文章链接://pubs.rsc.org/en/content/articlelanding/2022/RA/D2RA05792A)
图3. fs-LIBS技术中MF校正和SG校正方法得到的铝合金中Mg、Cu、Mn和Cr元素的标定曲线。 (a) Mg I 285.21 nm,(b) Cu l 324.75 nm,(c) Mn I 403.44 nm,和 (d) Cr I 428.97 nm。
学院光电信息科学与工程专业今年已有3名本科生在高水平期刊发表成果。一直以来麻豆视频
积极响应学校“卓越工程师教育培养计划”,探索在新工科背景下培养“卓越工程师”的复合型人才,组织选拔学生加入到学院各科研团队中,鼓励学生在担当使命中把握主动、在服务需求中体现价值、在攻坚克难中追求卓越。学院将继续为学生科研创新能力培养保驾护航,搭建学科平台,打造学生科研能力培养的立体化培养体系,助力人才培养质量提升。
(撰稿:何小勇;一审:车梦瑶;二审:刘晔;三审:胡耀华)